닫기

연락처
기념재단
TEL. 063-530-9400
박물관
TEL. 063-530-9405
기념관
TEL. 063-530-9451
Fax.
063-538-2893
E-mail.
1894@1894.or.kr

동학농민혁명기념재단 사료 아카이브 로고

SITEMAP 전체메뉴

1차 사료

사람이 하늘이 되고 하늘이 사람이 되는 살맛나는 세상
巡撫使呈報牒 순무사정보첩
  • 기사명
    其九十三(甲午十二月初十日)

    국역보기 원문/국역

  • 이미지
    prd_0110_128 ~ prd_0110_129 (128 ~ 129쪽) 이미지
  • 날짜
    음력 1894년 12월 10일
일러두기

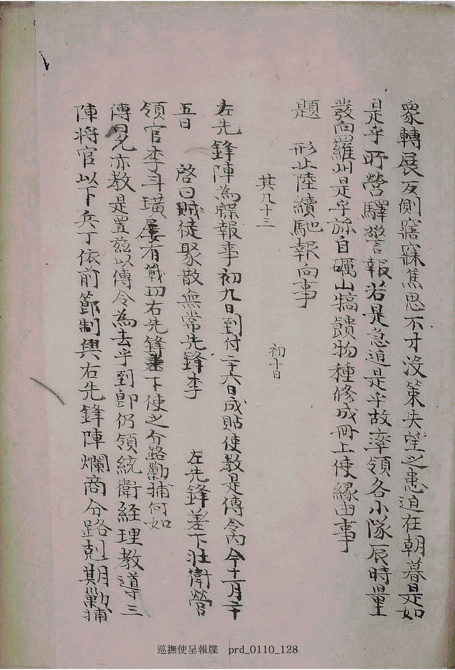
其九十三

左先鋒陣爲牒報事初九日到付二十六日成貼使敎是傳令內今十一月二十
五日 啓日賊徒聚散無常先鋒李▣▣▣左先鋒差下壯衛營
領官李斗璜屢有戰功右先鋒下使之分路勦捕何如
傳曰允亦敎是置玆以傳令爲去乎到卽仍領統衛經理敎導三
陣將官以下兵丁依前節制與右先鋒陣爛商分路剋期勦捕 是遣左先鋒手旗一面新造下送領受馳報宜當者

이 페이지에 제공하는 정보에 대하여 만족도를 평가해 주세요. 여러분의 의견을 반영하는 재단이 되겠습니다.

56149 전라북도 정읍시 덕천면 동학로 742 TEL. 063-530-9400 FAX. 063-538-2893 E-mail. 1894@1894.or.kr

문화체육관광부 전라북도청