닫기

연락처
기념재단
TEL. 063-530-9400
박물관
TEL. 063-530-9405
기념관
TEL. 063-530-9451
Fax.
063-538-2893
E-mail.
1894@1894.or.kr

동학농민혁명기념재단 사료 아카이브 로고

SITEMAP 전체메뉴

1차 사료

사람이 하늘이 되고 하늘이 사람이 되는 살맛나는 세상
先鋒陣各邑了發關及甘結 선봉진각읍료발관급감결
  • 기사명
    甘結羅州牧長城井邑泰仁金溝全州礪山恩津魯城公州 (乙未正月十五日)

    국역보기 원문/국역

  • 이미지
    prd_0107_052 ~ prd_0107_053 (52 ~ 53쪽) 이미지
  • 날짜
    음력 1895년 01월 15일
일러두기

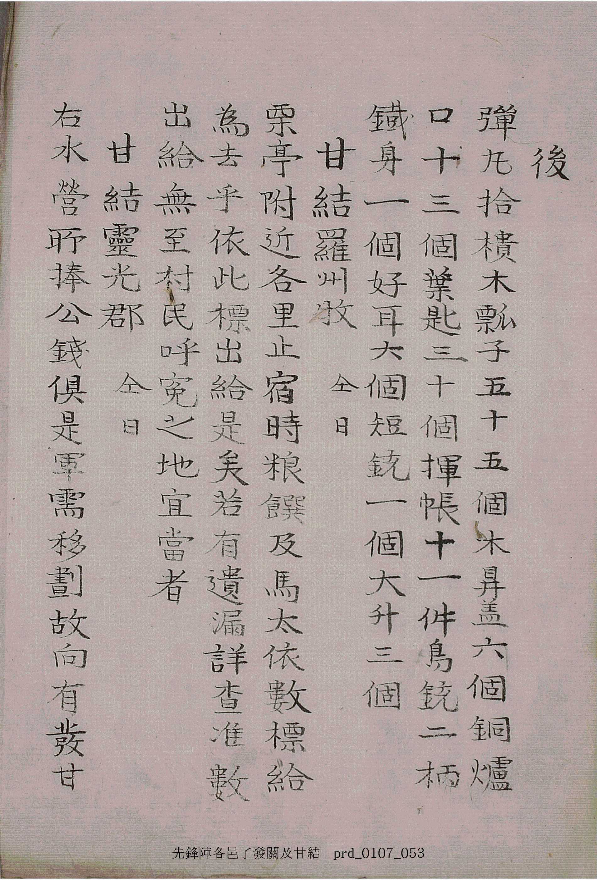
甘結羅州牧長城井邑泰仁金溝全州礪山
恩津魯城公州

去十二月十一日羅州任置是在軍物依後錄
輸送是矣次次替傳於前邑爲旀到付狀各其
考還宜當者

此亦中各其眼同四將吏護送次

彈丸拾樻木瓢子五十五個木鼎蓋六個銅爐
口十三個葉匙三十個揮帳十一件鳥銃二柄
鐵身一個好耳六個短銃一個大升三個

이 페이지에 제공하는 정보에 대하여 만족도를 평가해 주세요. 여러분의 의견을 반영하는 재단이 되겠습니다.

56149 전라북도 정읍시 덕천면 동학로 742 TEL. 063-530-9400 FAX. 063-538-2893 E-mail. 1894@1894.or.kr

문화체육관광부 전라북도청